2022.04.22
PRTIMESはこちら
株式会社 天使のたまご(本社:東京都中央区、代表取締役:藤原亜季)が運営する、不妊治療者のケアに特化したマタニティ鍼灸サロン「天使のたまご 新宿杉山産婦人科院」は、2018年より生殖医療専門クリニック杉山産婦人科 新宿に併設後、弊社が運営する他院と来院傾向を比較をしたところコロナ禍でも来院数が2倍以上に伸び、不妊治療者からの心身ケアニーズが増加していることがわかりました。
2022年4月から不妊治療の保険適応が始まり経済的サポートが増える一方で、治療に伴う身体的・精神的な負担も非常に大きい現状があり、妊娠し出産に至るまでの心身サポート等のメンタルケアもより重要視されると考えます。
不妊治療受診者のコンディションを整えるために併設した「天使のたまご新宿杉山産婦人科院」は、開院より来院数が2倍以上に成長いたしました。(以下グラフ参照)
天使のたまごの他院で比較したところ、新宿院の来院数の伸びは特徴的で不妊治療者からの心身ケアニーズが増加していることがわかりました。
治療者の増加背景には、年々不妊治療受診者自体が増加していることの他、心身ともに安定した状態で不妊治療を継続するために、メンタル治療を得意とした鍼灸治療との親和性が高いことが挙げられます。

※2020年4月第1次緊急事態宣言が発令された際には来院数は落ち込むものの、翌月から来院数は回復しています。

◉<不妊治療者は治療の影響でホルモンバランスが崩れ、ストレスを感じやすくなっている状態に。>
不妊治療中は、治療に応じて多くの薬を服用することもありホルモンバランスが崩れやすくなっています。そのバランスが崩れているところに、経済的不安・夫婦間の温度差・病院での長時間拘束など様々な要素が重なり、よりストレスを感じやすくなっています。過剰なストレスは、間接的に生殖機能を低下させ、ひいては不妊症にもつながっていくことにもなりかねません。
◉<東洋医学の鍼灸が良いとされるのは、鍼灸にストレス緩和をする効果があるため>
弊社代表の藤原は、昭和大学で鍼灸の抗ストレス作用についての研究を行いました。

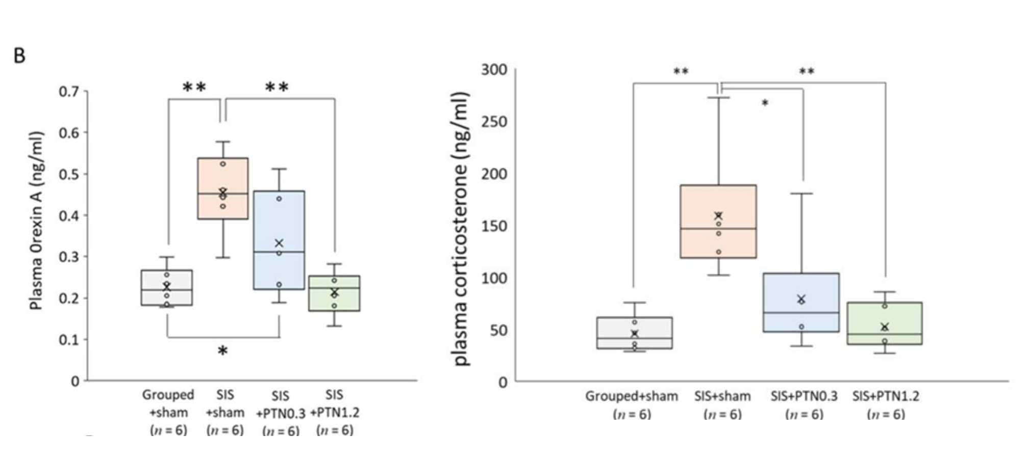
| 【円皮鍼の抗ストレス作用におけるオレキシンの制御】(上記図) 社会的孤立ストレスを与えたラットに円皮鍼を貼付したとろ、 ストレスホルモンであるコルチコステロンおよびオレキシンの低下が見られました。これらの結果により、円皮鍼がストレス反応の抑制に関与しているということを発見しました。 Fujiwara, Aki et al. “Regulatory Role of Orexin in the Antistress Effect of “Press Tack Needle” Acupuncture Treatment.” Healthcare (Basel, Switzerland) vol. 9,5 503. 27 Apr. 2021 https://www.ncbi.nlm.nih.gov/pmc/articles/PMC8146164/ |

「天使のたまご」は、2006 年に東京・銀座に誕生した“マタニティ鍼灸”の世界的パイオニア として代表・藤原の第一子妊娠と出産を機に創業しました。新宿杉山産婦人科院は、産前産後の女性を年間8,400名ケアしてきた天使のたまご初の不妊治療に特化した院です。藤原が第二子を望んだ際に、経済的・精神的にもダメージが大きい不妊治療を長期間経験し、その実体験を元に鍼灸治療+リラクゼーション+メンタルケアを組み合わせたオリジナルメソッドを提供しています。
▼天使のたまご新宿杉山産婦人科院 3つの特徴
| ポイント1:生殖医療専門クリニックとの医療連携 代表藤原が第2子を希望した時には40歳を迎えており、不妊治療を決意。長期間に及ぶ治療期間を経験する中で、マタニティケアとは違った視点での治療や医療との細やかな連携が不可欠だと認識し、杉山産婦人科内に併設する形で2018年に開設しました。 ポイント2:マタニティ鍼灸で培ったノウハウを不妊治療鍼灸にも同院では、クリニックでの医療処置の前後に「補完代替医療」として患者のストレスをケアし、心身のコンディションを整えることを目的とした鍼灸治療を施しています。 ポイント3:メンタリティにも配慮したケアクリニックに併設していることで、不妊治療中はもちろんのこと、妊娠初期に多くの妊婦が経験するつわりなどのマイナートラブルにも対応。また、妊娠に至らなかった場合のメンタルケアを含めたケアができるため、患者・クリニック双方からの支持も厚いです。 |

<利用者の声 一部抜粋>
◉「不妊治療中に大変お世話になりました。生理中、採卵前、移植後など、自分の身体にとって来院に一番良い時期や、希望する施術の内容をスタッフの方が丁寧に聴き取って考えてくださります。あたたかなサポートのおかげで、新しい命を授かることができました。」
◉「不妊治療に合わせて通っていますが、鍼灸とアロママッサージで心身共に凄く癒されます。そしていつも親身に話を聞いてくださったり色々アドバイスもして下さいます。」
◉「その場の施術だけでなく、自宅でできるストレッチ等ホームケアについてもご親切にアドバイスいただけます。また、些細な質問にも親身になって答えていただき心強いです!鍼が少し苦手なのですが、痛みを感じないような施術に変えてくださったりと本当に丁寧です。」

杉山産婦人科グループは、妊娠したいという想いを大切に、妊娠と、さらにその先の未来をサポートしています。特に新宿院は高度生殖医療(体外受精)を専門的に行なっており、従来の体外受精に加え、難治性不妊症対策として最先端の生殖補助医療技術を提供しています。
一般的に不妊治療は通院回数が多い上に長期間に及ぶため、精神的にも負担が大きいことは否めず、そのストレスが妊娠に与える影響は医学的にも指摘されております。患者様のストレス軽減を目指すにあたり、妊産婦ケアの専門として実績のある天使のたまごさんによる鍼灸やアロマトリートメントを受けられる場を設けました。ストレスや疲労を和らげ、最高の環境で前向きに不妊治療に取り組んでいただければ幸いです。

妊婦専門鍼灸師として、頭ではもちろんわかっていましたが、“40歳をすぎて妊娠”というのは想像以上にハードルが高かったです。数回の流産を経験してステップアップするも、とにかく良質な卵が採れない・・・年齢の壁を痛感しました。また、初めての移植は子宮外妊娠、右卵管を失う結果に。これで最後にしようと思った最後の移植は、他院では移植不可になることもある低いグレードの胚盤胞。確率を少しでもあげたくてタイミング方も併用したところ、予想外の妊娠でした。妊娠までに採卵はトータル9回することになりました。みなさんよく言われますが、妊活は思い通りにはいかない。前に進めず、気持ちが落ち込むこともある。先が見えず、わからないことだらけのなか、治療を続けるメンタルをキープすることがどれだけ難しいかを実感しました。 天使のたまごが産前産後ケアで15年間培ってきたノウハウで、血流が改善され自律神経系が整うことにより妊娠しやすい状態にすることはもちろんですが、ホルモンの変化や感情の起伏が大きい時期だからこそ、メンタリティの改善と維持に役立てていただければ幸いです。